Acesse sua conta
Ainda não é assinante?
Ao continuar, você concorda com a nossa Política de Privacidade
ou
Entre com o Google
Alterar senha
Preencha os campos abaixo, e clique em "Confirma alteração" para confirmar a mudança.
Recuperar senha
Preencha o campo abaixo com seu email.

Já tem uma conta? Entre
Alterar senha
Preencha os campos abaixo, e clique em "Confirma alteração" para confirmar a mudança.
Dados não encontrados!
Você ainda não é nosso assinante!
Mas é facil resolver isso, clique abaixo e veja como fazer parte da comunidade Correio *
ASSINE

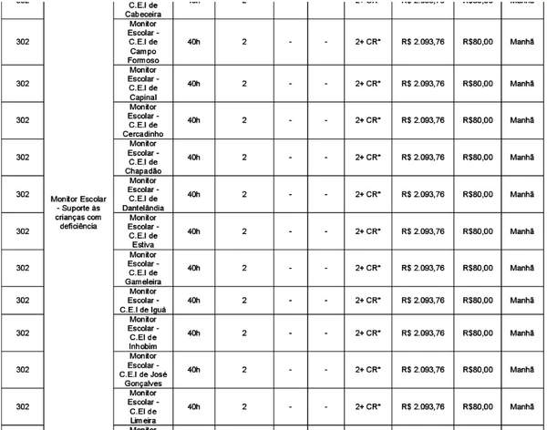
Salários de até R$ 3 mil e mais de 70 vagas imediatas: prefeitura baiana abre inscrições para seleção

Candidaturas podem ser realizadas até o dia 7 de maio

  • Foto do(a) author(a) Elaine Sanoli
  • Elaine Sanoli

Publicado em 17 de abril de 2026 às 09:44

Vitória da Conquista
Vitória da Conquista Crédito: PMVC

A Prefeitura de Vitória da Conquista, no Sudoeste da Bahia, lançou um edital para contratação de servidores temporários, com pelo menos 74 vagas imediatas, além de formação de cadastro reserva. As inscrições foram aberta nesta quinta-feira (16) e podem ser realizadas até o dia 7 de maio. Os salários podem chegar a R$ 3 mil.

As oportunidades são destinadas a candidatos dos níveis de formação médio e superior. 

Veja a lista de vagas completa por Reprodução

Para se candidatar, os interessados devem acessar o site, da banca organizadora, o Instituto AOCP e preencher o formulário de inscrição, gerar o boleto e efetuar o pagamento até o dia do vencimento. A taxa de inscrição é de R$ 80 para cargos de nível médio e R$  98 para o nível superior.

A prova escrita está prevista para o dia 21 de junho. Para o cargo de professor, a seleção conta também com prova de títulos. Já os instrutores de artes e esportes farão, além da avaliação escrita, prova de títulos.

O Processo Seletivo Simplificado terá validade de um ano, desde a data da homologação, podendo ser prorrogado uma vez, por igual período. A contratação será de 24 meses, período que pode ser prolongado por mais dois anos.