Acesse sua conta
Ainda não é assinante?
Ao continuar, você concorda com a nossa Política de Privacidade
ou
Entre com o Google
Alterar senha
Preencha os campos abaixo, e clique em "Confirma alteração" para confirmar a mudança.
Recuperar senha
Preencha o campo abaixo com seu email.

Já tem uma conta? Entre
Alterar senha
Preencha os campos abaixo, e clique em "Confirma alteração" para confirmar a mudança.
Dados não encontrados!
Você ainda não é nosso assinante!
Mas é facil resolver isso, clique abaixo e veja como fazer parte da comunidade Correio *
ASSINE

Prefeitura abre concurso público com mais de 300 vagas imediatas e salários de até R$ 4,8 mil

Inscrições podem ser feitas até o dia 17 de novembro

  • Foto do(a) author(a) Millena Marques
  • Millena Marques

Publicado em 27 de outubro de 2025 às 12:47

Concurso público está aberto em prefeitura
Concurso público está aberto em prefeitura Crédito: Shutterstock

A Prefeitura de Maranguape, na Região Metropolitana de Fortaleza, anunciou a abertura de um concurso público com mais de 300 vagas imediatas e cadastro reserva para professores, psicopedagogos, agentes de saúde e guarda municipais, com salários de até R$ 4,8 mil. As inscrições podem ser feitas o dia 17 de novembro.

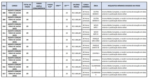
Vagas

Vagas do concurso público de Maranguape por Reprodução

Como se inscrever

O valor das inscrições é de R$ 195. Elas devem ser feitas exclusivamente pelo site do Instituto Consulpam, organizador do certame.

Prazo de validade

O prazo de validade do concurso será de dois anos contados da data de sua homologação, podendo, por ato expresso do Poder Executivo, ser prorrogado uma única vez por igual período, desde que não vencido o primeiro prazo, conforme o artigo 37, inciso III da Constituição Federal.

Etapas do concurso

Prova Objetiva de caráter eliminatório e classificatório.

Prova Discursiva de caráter eliminatório e classificatório;

Prova de Títulos com caráter classificatório.

Reserva de vagas

Das vagas, 5% são reservadas para Pessoas com Deficiência, e 20% para candidatos negros.

Tags:

Emprego Concurso Público